Page 102

« Menu »
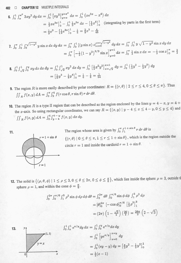
102.gif