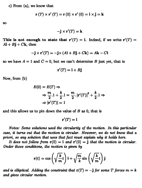
.

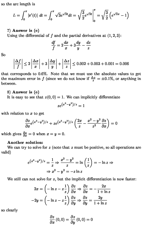
.

.

.

.

.