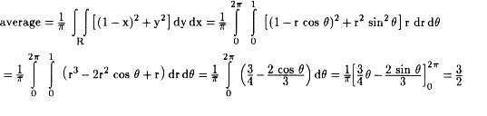
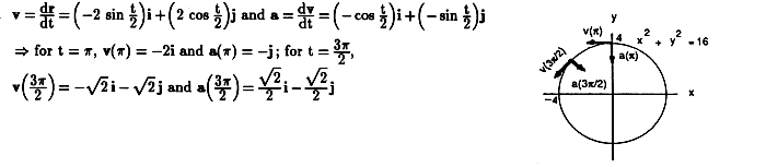
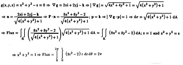
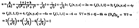
To access the solutions, either click on the particular problem or click on the HTML problem set solutions when they become available.
| Due Date | Section Number: Problems | Solutions |
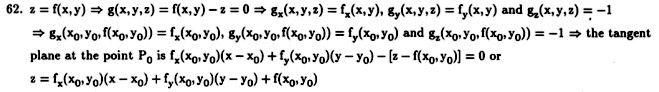
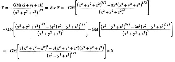
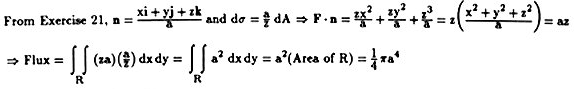
| Dec 17 | 14.8: 17, 24, 27 14.PE: 30, 31, 62 14.AE: 2, 21 |
HTML |
| Dec 15 | 14.8: 1, 2, 3, 4, 6, 8, 10, 14, 15 | HTML |
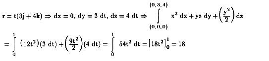
| Dec 10 | 14.7: 6, 7, 8, 10, 20, 21 14.PE: 41, 42 |
HTML |
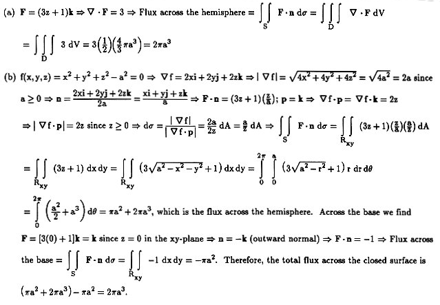
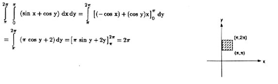
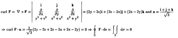
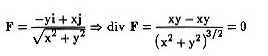
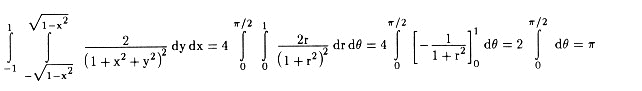
| Dec 8 | 14.5: 6, 14, 18, 20, 22, 24, 28, 32, 44 14.7: 2, 4, 22 |
HTML |
| Dec 1 | 14.5: 2, 40 14.PE: 4, 36, 38, 52, 54 |
HTML |
| Nov 24 | 14.4: 6, 12, 16, 20, 22, 26, 34 | HTML |
| Nov 19 | 14.2: 24, 26 14.3: 2, 4, 6, 8, 10, 14, 24, 30, 33, 34 |
HTML |
| Nov 17 | 13.6: 60, 64 14.1: 12, 22, 24 14.2: 4, 6, 10, 12, 20, 22, 45 14.PE: 2 14.AE: 6 |
HTML |
| Nov 12 | 13.3: 20, 22, 30, 32 13.6: 12, 18, 32, 38 |
HTML |
| Nov 10 | 13.2: 54, 56(use Pappus' Formula if you wish) 13.3: 6, 14, 16, 18 13.5: 14 13.PE: 40 |
HTML |
| Nov 5 | 13.2: 18, 34(center of mass only), 43 13.4: 20, 22, 28 13.5: 6, 18 13.PE: 20 |
HTML |
| Nov 3 | 12.PE: 58, 76, 80, 86, 88 12.AE: 15 13.1: 4, 8, 10, 16, 20, 42, 48 13.4: 4, 14 |
HTML |
| Oct 29 | 12.8: 43b, 44bd, 46, 51 12.9: 12, 16, 18, 28, 32, 44 |
HTML |
| Oct 27 | 12.1: 8def, 12def 12.7: 50, 56, 58, 62, 64 12.8: 8, 10, 18, 28, 32, 34, 38 |
HTML |
| Oct 22 | 12.7: 6, 14, 16, 18, 20, 22, 30, 32, 40, 44 | HTML |
| Oct 20 | 12.4: 40 12.5: 4, 6, 10(via Chain rule only), 20, 22, 24, 40, 42, 46 |
HTML |
| Oct 15 | 12.2: 36 12.3: 58, 62, 66, 67 12.4: 2, 6, 10, 20, 22, 24, 32, 36 |
HTML |
| Oct 13 | 12.1: 8abc, 12abc, 13-18, 24b, 28b, 38, 42, 46 12.3: 6, 18, 32, 40, 42, 52 |
HTML |
| Oct 8 | 11.1: 44 11.2: 18 11.3: 2, 8, 12, 18 11.5: 8, 12 11.PE: 10, 34 |
HTML |
| Oct 6 | 10.5: 68, 72, 74 10.AE: 19 11.1: 6, 8, 14, 18, 36, 40 11.2: 4, 5, 6 |
HTML |
| Oct 1 | 10.5: 2, 6, 10, 18, 22, 24, 34, 36, 38, 40, 42, 44, 48 | HTML |
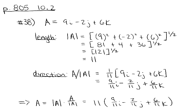
| Sept 29 | 10.2: 38, 44, 46ac, 50 10.3: 2, 4, 6, 12, 16, 32, 34 10.4: 2, 4, 8, 24, 28, 30, 40 |
HTML |

Back to Math
21a main webpage
Last Updated: 1/6/99 by Ralph
Teixeira