Math 21a Solutions - Nov 25

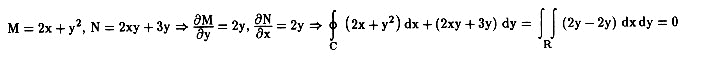
14.4 - 6

14.4 - 12

14.4 - 16

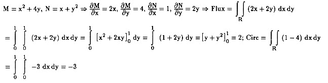
14.4 - 20

14.4 - 22

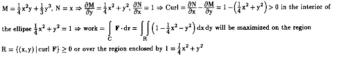
14.4 - 26

14.4 - 34