Math 21a Solutions - Oct 28

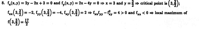
12.8 - 8

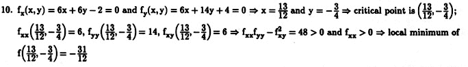
12.8 - 10

12.8 - 18

12.8 - 28

12.8 - 32

12.8 - 34

12.8 - 38

12.8 - 43b

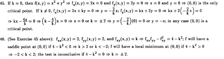
12.8 - 44bd

12.8 - 46

12.8 - 51