Math 21a Solutions - Sept 30

10.5 - 18

10.5 - 22

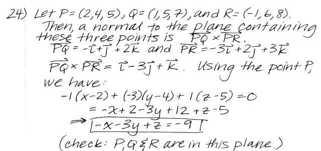
10.5 - 24

10.5 - 34

10.5 - 36

10.5 - 38

10.5 - 40

10.5 - 42

10.5 - 44

10.5 - 48