Page 104

« Menu »
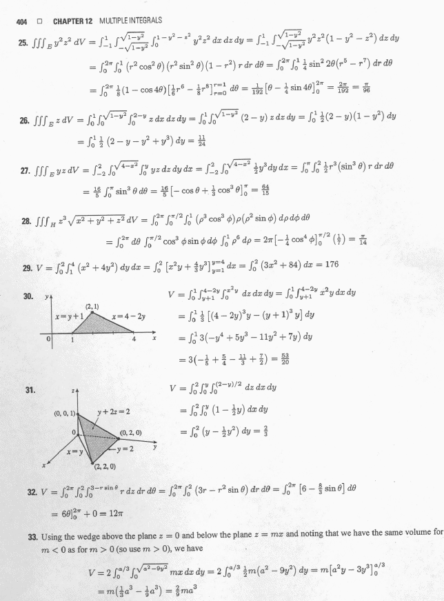
104.gif