Omni 3D project
310R: Mathematics of 3D image synthesis
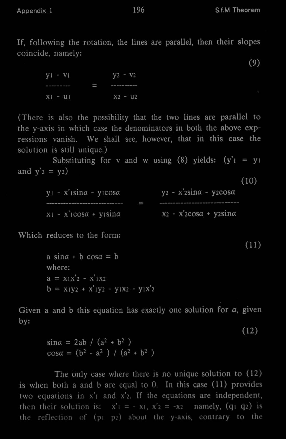
Ullmans theorem source
by
Oliver Knill
Office: SciCtr 434
Email:
knill@math.harvard.edu
Main page
Literature
Papers
Glossary
Demos
Exhibits
Sources
Slides
Software
Links
Introduction to the book
Appendix I: proof of Ullmans theorem
Appendix II: perspective case
Footnotes and Literature
Questions and comments to
knill@math.harvard.edu
Oliver Knill
|
Department of Mathematics
|
Harvard Summer School
|
Harvard University
|
Main page
|
Literature
|
Papers
|
Glossary
|
Demos
|
Exhibits
|
Slides
|
Software
|
Links
|