|
Math21a, Fall 2000 Instructor Solutions Manual This page is for CA's and TF only, don't tell the students about it. Don't link to it from a website because robots would fetch it and we would run into copyright problems. |
| Main| | Syllabus | Calendar | Homework | Supplements | Comput. assigns | Links |
|
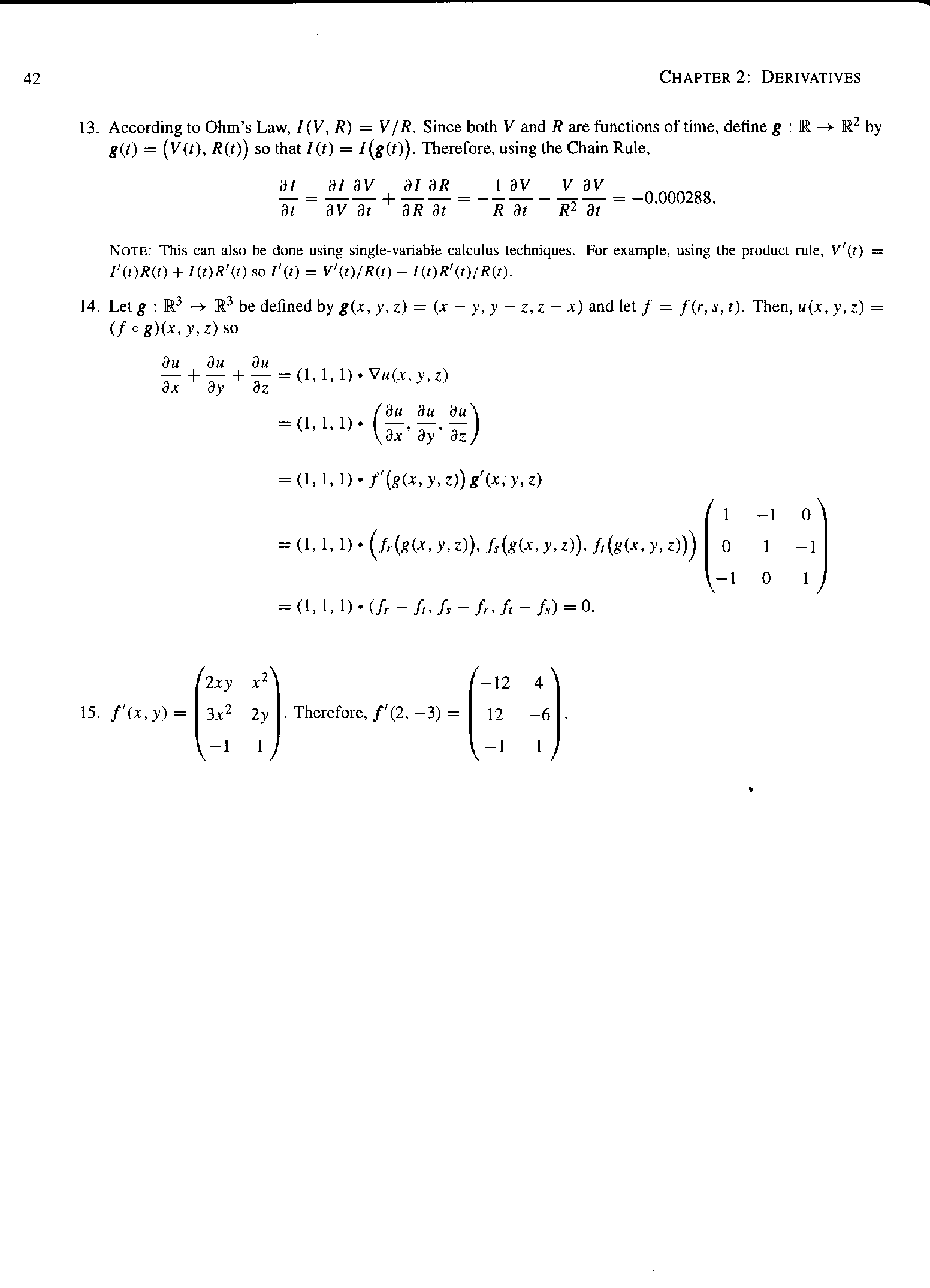
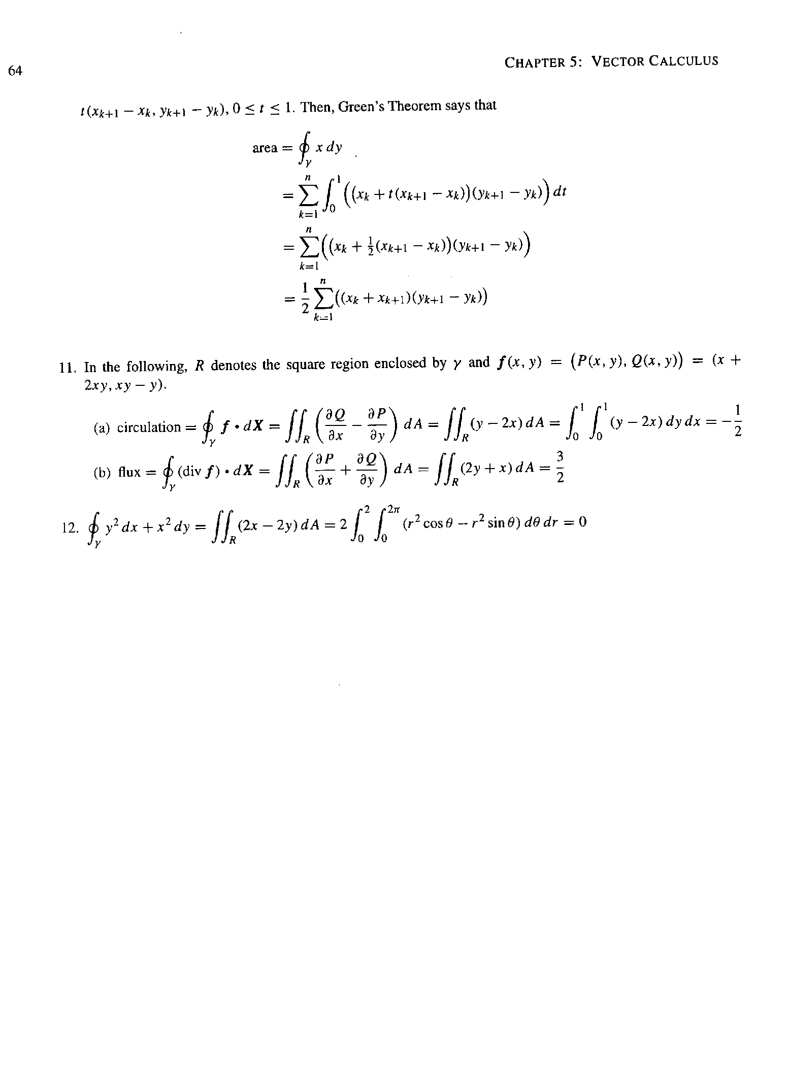
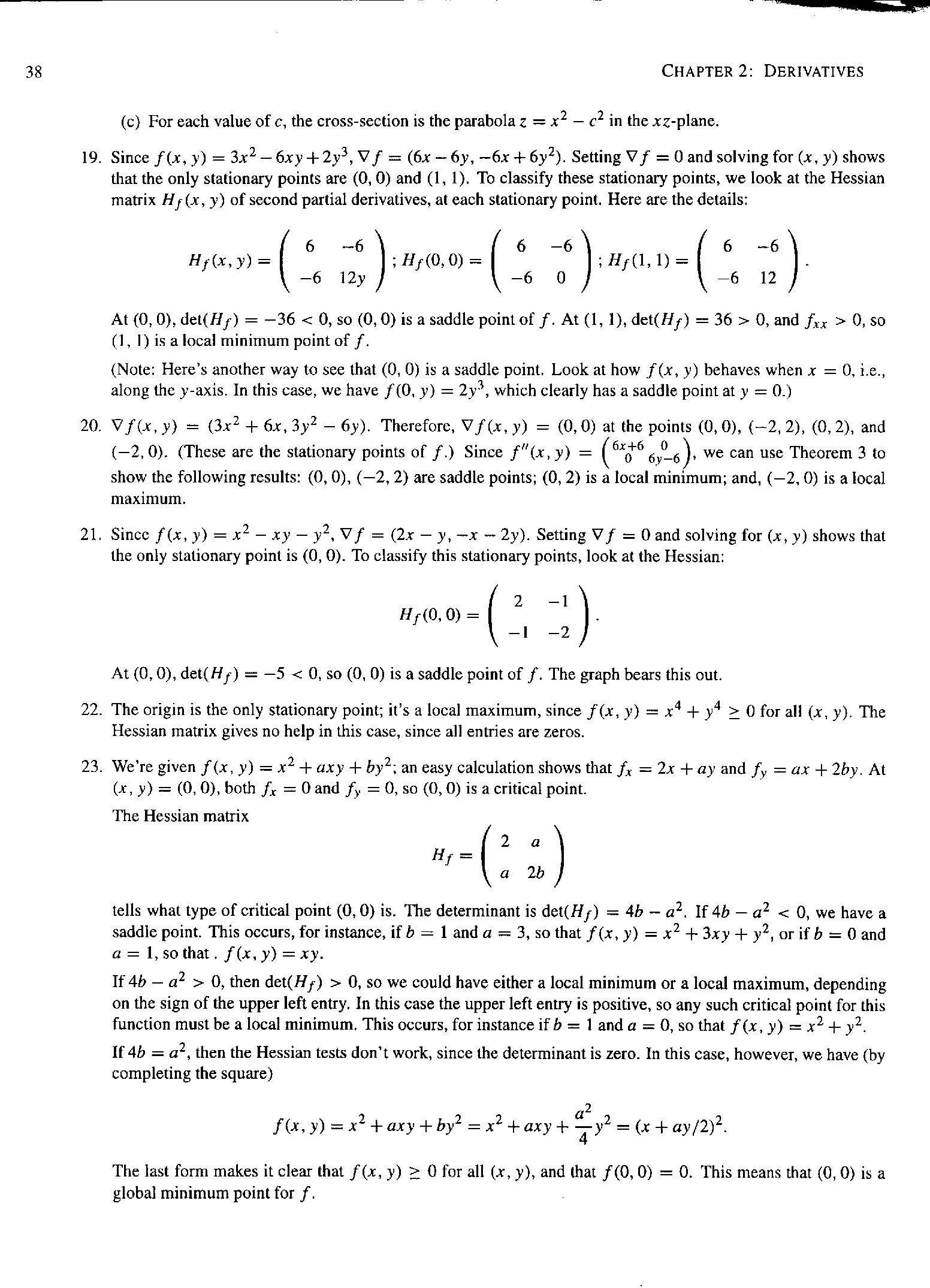
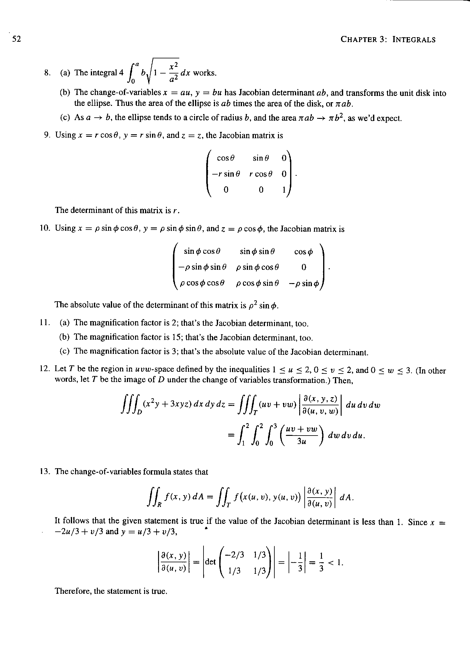
| Last update, 9/20/2000 |