Math 21 a Math21a, Fall 2001
Course Head: Prof. Clifford H. Taubes

Mainpage Syllabus Calendar Homework Exams Supplements Comput. assigns Links

Suggested Extra Problems

Regular sessions Physics sessions Biochem sessions Computer sessions

Homework

Homeworks are due on the week following their assignment; due on Tuesdays for the Tue/Th sections and Wednesdays for the Mo/We/Fr sections.



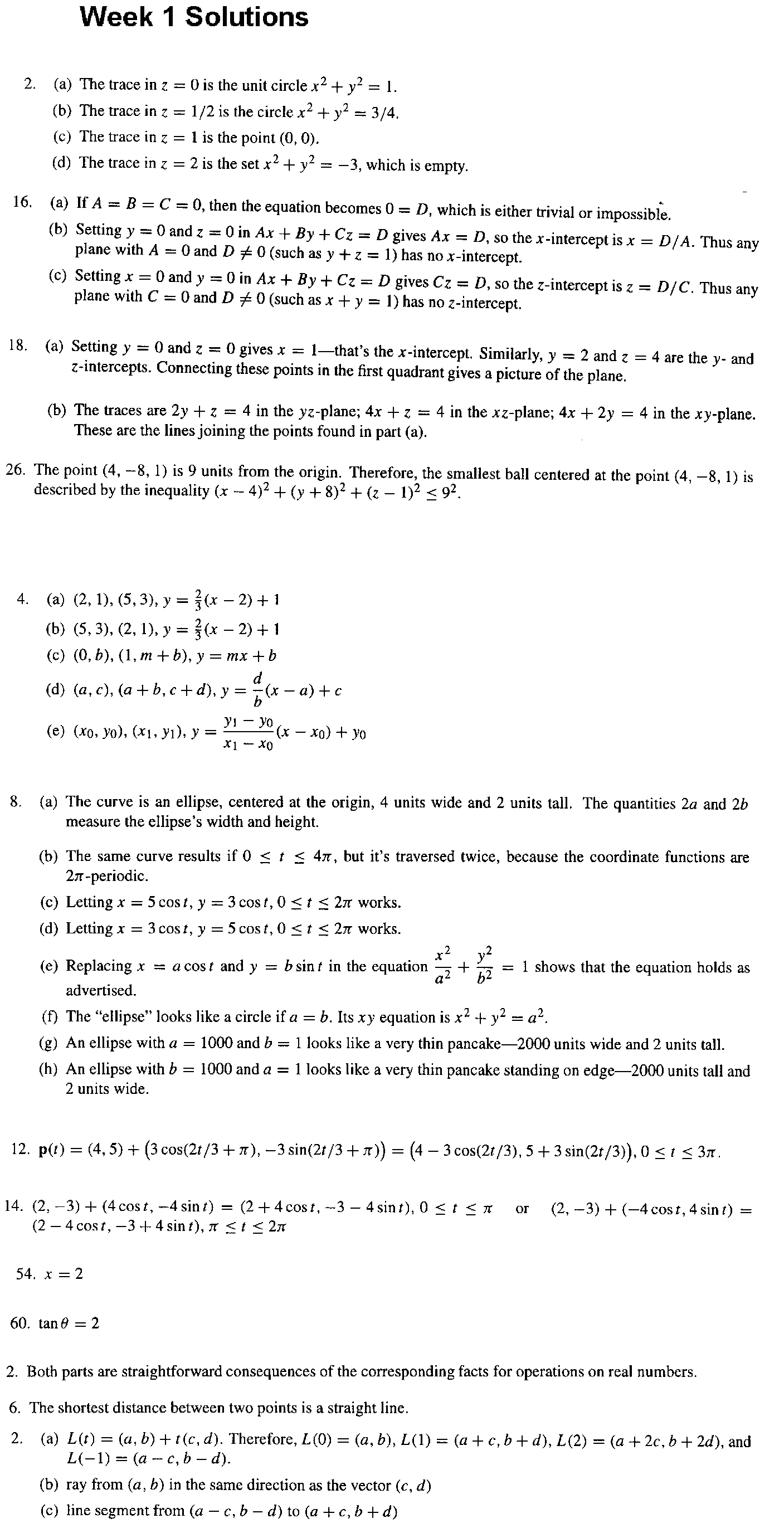
1. Week: (due Tue 9/25 rsp. Wed 9/26) pgs. 12-15 number 2,16,18,26, pgs 25-27 number 4,8,12,14, pgs. 377 number 54,60, pg. 36 number 2,6, pg. 46 number 2 Solutions
2. Week: (due Tue 10/2 rsp. Wed 10/3)
pgs. 46 number 4 pgs. 56-58 number 14,20,22 pgs. 69-74 number 10,16,20,22 pgs. 82-85 number 16,22,34 pgs. 90-93 number 10,22,26
Also do: Find all vector functions of time r(t), that obey the differential equation d/dt r(t) = r(t). (Hint: All function f(t) of time that obey d/dt f(t)= f(t) have the form f(t)=C e t , where C can be any constant.)
Solutions
3. Week: (due Tue 10/9 rsp. Wed 10/10)
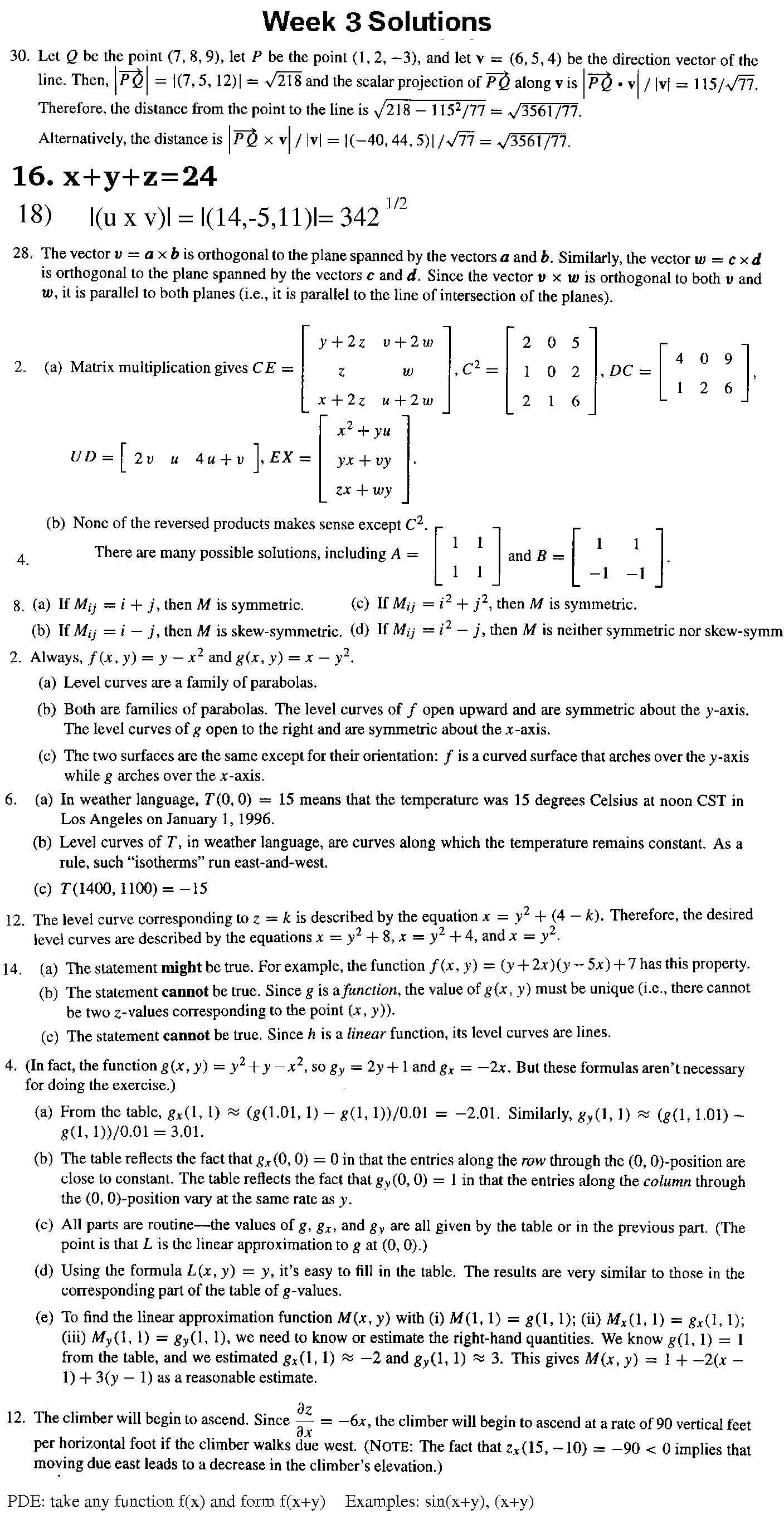
Reg/Bio/Cs Physics
pgs 83-85 number 30 pg 92-93 number 16,18,28 pgs 395 number 2,4,8 pgs 103-106 number 2a-c,6,12,14 pgs 115-118 number 4,12 pgs 103-106 number 2a-c,6,12 pgs 115-118 number 4,12,16,18 pgs 254-255 number 2,6
All sections also do: The function u(x,y)=cos(x+y) obeys the partial differential equation ux-uy=0, where ux(x,y),uy(x,y) are the partial derivatives with respect to x and y. Find two other non-constant functions, neither multiples of cos(x+y) that obey this equation.
Solutions (Reg/Bio/Cs)
Solutions (Phys)
4. Week:
(due
Tue 10/16
rsp.
Wed 10/17)
Reg/Bio/Cs Physics
pg 124-127 number 4 (no techn.),
14,18,20,22 pgs 134-136 number 2,8,12,16
Also do:
Show that f(x,y)=sin(x2+y2) satisfies the partial differential equation y fx-x fy=0. Find two more functions f(x,y) neither constant nor constant multiples of sin(x2+y2) that obey this equation. pgs 263-264 number 2,6,8
pgs 124-127 number 2,4,14,18
Also do 1) and 2) to the right:
1) Let F=(2 x y 2 + 3 x2, 2 y x2). Compute the line integral of F along from (0,0) to (1,1) along the following curves:
a) The diagonal x=y
b) Along the x axis from x=0 to x=1, then from (1,0) to (1,1) along the line x=1
c) Along the y axis from y=0 to y=1, then from (0,1) to (1,1) along the line y=1
d) Exhibit a potential function for F and use the fundamental theorem for line integrals.
2) For each of the following, find values for the constants a,b which make the given vector field conservative:
a) F=(a x3 y + b y 2,x4+y x)
b) F=(sin(y) + b y cos(x),a x cos(y) + sin(x))
c) F=(a y e(xy) + y 2,-x e(xy) + 2 y xb)
d) F=(3 xa yb,4 x3 y3)
5. Week:
(due
Tue 10/23
rsp.
Wed 10/24)
Reg/Bio/Cs Physics
pgs. 136 number 14 pgs. 140 number 2 pgs. 146 number 6 pgs. 156-159 number 2,8,10,16,20,26a,c pgs. 245-248 number 2,4,6 pg 127 number 20,22 pgs 134-136 number 2,8,10,12,14,16 pg 140 number 2 pg 146 number 6 pg 395 number 2,4,8 pg 93 number 28
All sections do: The function u(x,y)= x2-y2 obeys the partial differential equation uxx+uyy=0. Write down two more non constant solutions to this same equation, neither a constant multiple of x2-y2.
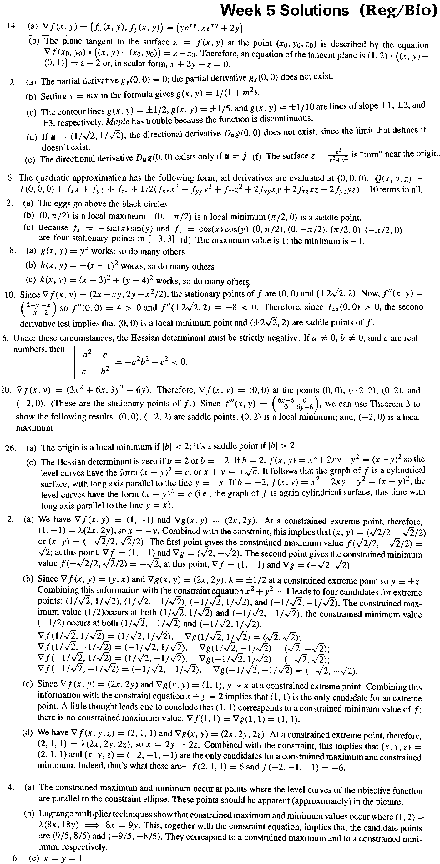
Solutions Reg/Bio , Solutions Phys
6. Week:
(due
Tue,10/30,
rsp.
Wed,10/31)
Reg/Bio/Cs Physics
pgs 247-248 number 8
pgs 168-169 numbers 4,12,14
pgs 179-182 numbers 4ac,10
pgs 191-193 number 4
Also do the 6 problems below.

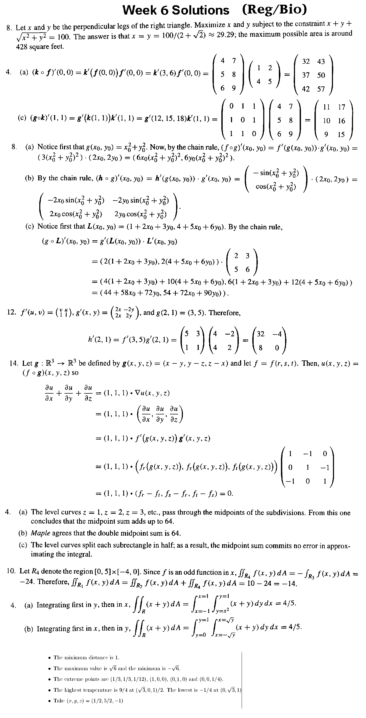
pgs 156-159 numbers 2,8,10,16,20,26ac
pgs 245-248 numbers 2,4,6,8
pgs 168-169 numbers 4,8,12,14
Also do the 6 problems below.
1) Find the minimum distance from the surface x2+y2-z2=1 to the origin.
2) Find the maximum and minimum values of x+y-2z on the sphere x2+y2+z2=1.
3) Find the local extreme points of f(x,y,z)=xyz on the surface x+y+4z=1.
4) Model the earth as the sphere x2+y2+z2=1. Suppose that the temperature at a point (x,y,z) on the surface is T(x,y,z)=x2-y2+z+1 in appropriate units. Find the points with the highest and lowest temperatures.
5) Suppose that the profit from Scooter sales is a function N of variables (x,y,z) that is given by N(x,y,z) = -4x2+2xy-z2. Suppose as well that the values of (x,y,z) are not independent, but constrained by x+y+2z=1. What values of (x,y,z) should be used to maximize the profit?
6) Let c>0 be a constant. An example of a 'wave equation' is the partial differential equation utt-c2 uxx=0 for a function u(t,x). If f(s) and g(s) are any pair of one variable functions, use the chain rule to prove that u(t,x)=f(x-ct)+g(x+ct) solves the wave equation.
Solutions Reg/Bio/CS
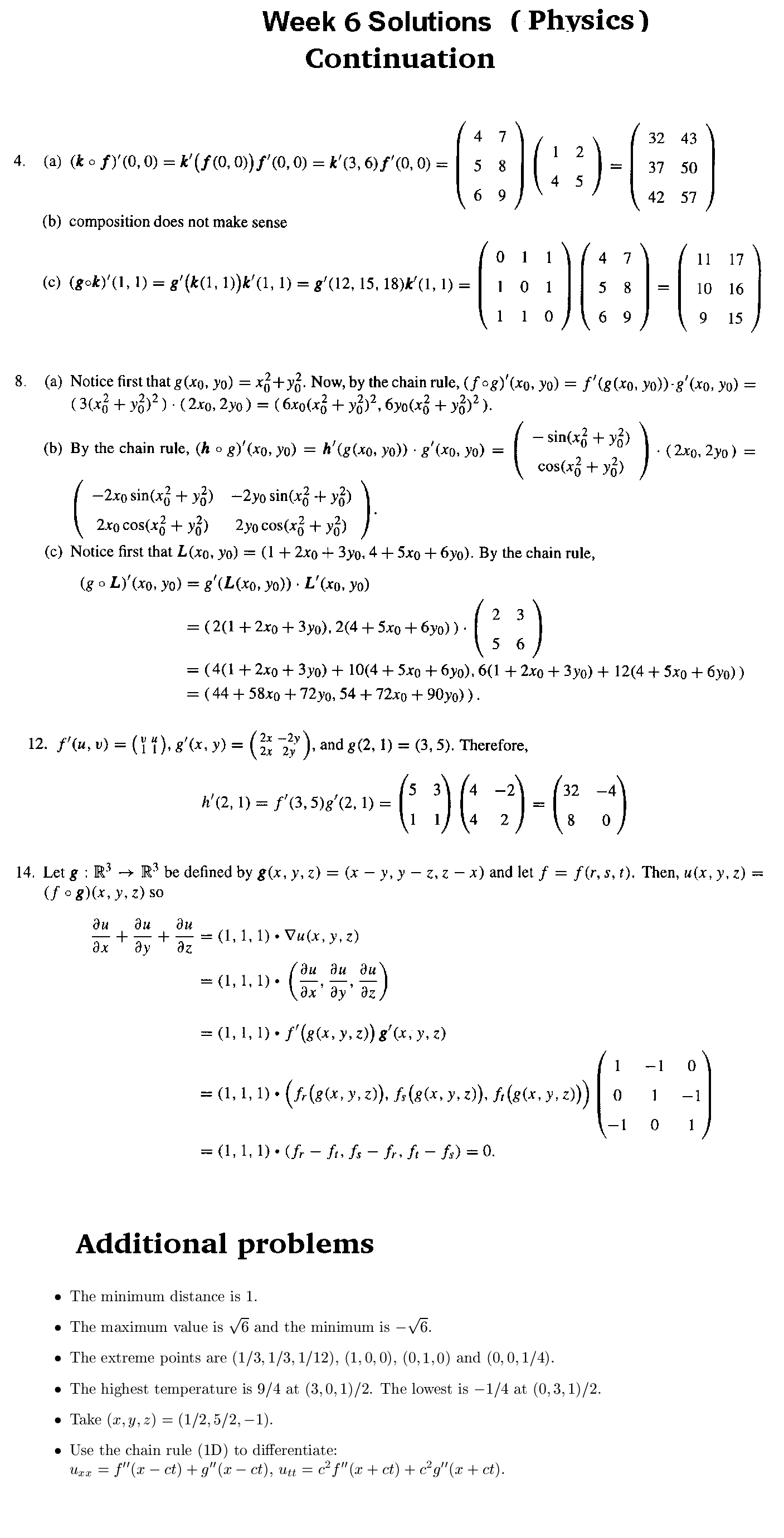
Solutions Phys (I)
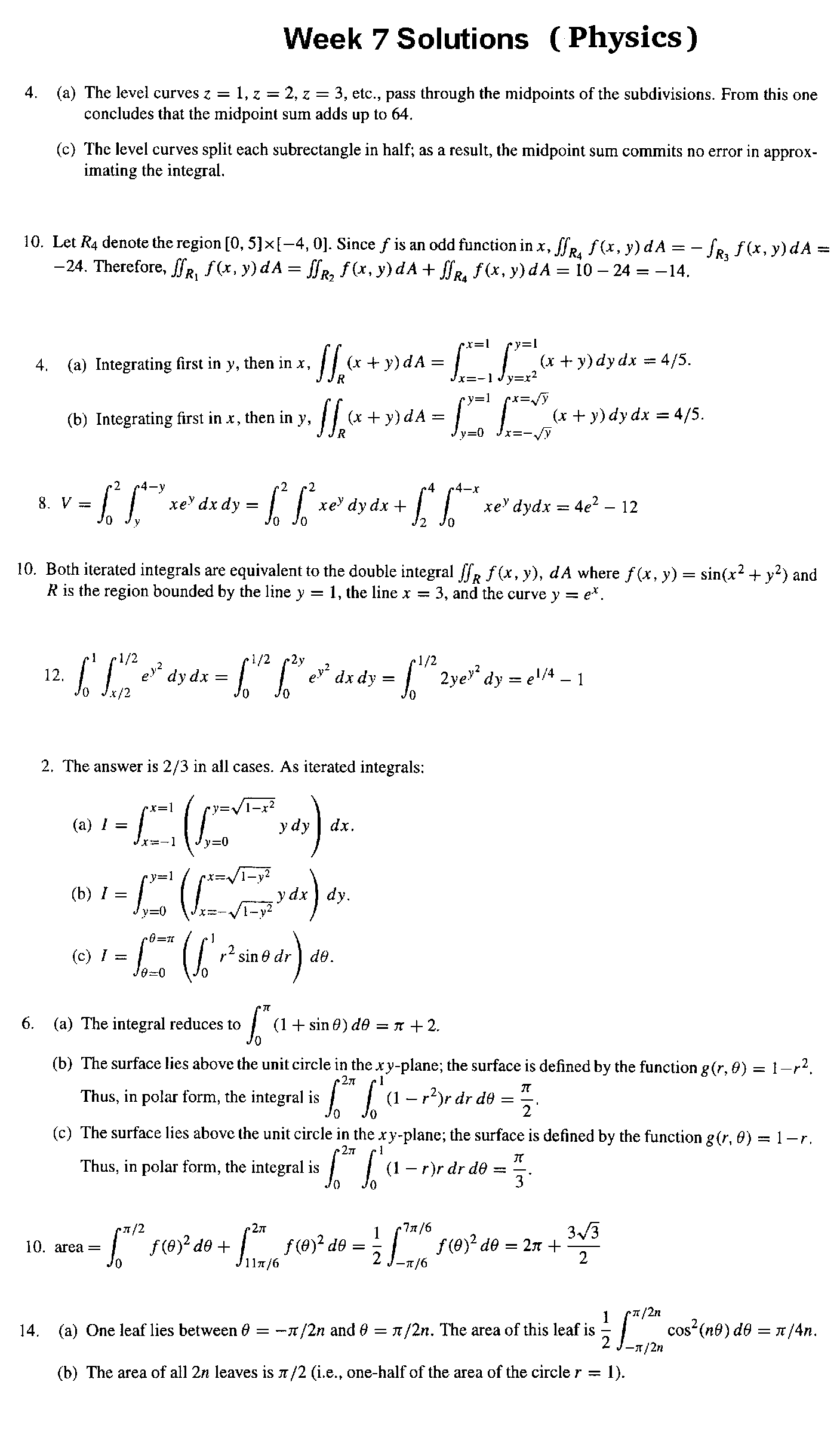
Solutions Phys (II)
7. Week:
(due
Tue,11/6,
rsp.
Wed,11/7)
Reg/Bio/Cs Physics
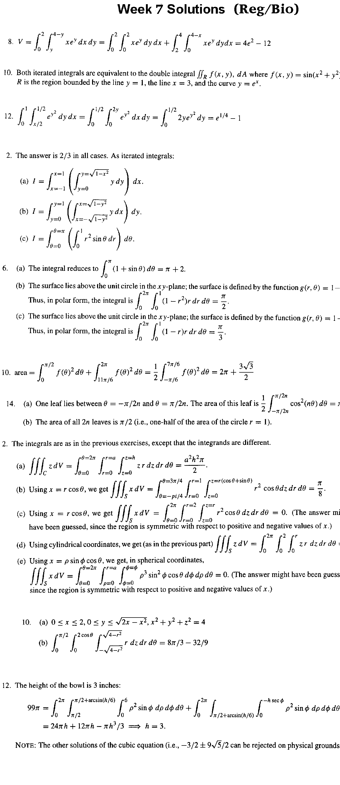
pgs. 192-193, number 8,10,12 pgs. 199-200, number 2,6 page 385, number 10,14 pages 207-209 number 2, no technology, 10,12 Also do:
1) Use polar coordinates to integrate the function log(x2+y2) over the region, where x2+y2 <1. (Hint: An integration by parts can help with the evaluation of the integral).
2) Use spherical coordinates to integrate the function 1/(x2+y2+z2)1/2 over the region where x2+y2+z2 <1.
pgs. 179-182, number 4a,c 10 pgs. 191-193, number 4,8,10,12 pgs. 199-200, number 2,6 pg 385, numbers 10,14
Solutions Reg/Bio , Solution to 1) pi/2, Solution to 2) 2 pi
Solutions Phys
8. Week:

Reg Phys Bio Cs
pgs 254-255 number 2, pages 263-364 number 2 (no tech), 6, 8
Also do: 1) Let F=(2 x y 2 + 3 x2, 2 y x2). Compute the line integral of F along from (0,0) to (1,1) along the following curves:
a) The diagonal x=y
b) Along the x axis from x=0 to x=1, then from (1,0) to (1,1) along the line x=1
c) Along the y axis from y=0 to y=1, then from (0,1) to (1,1) along the line y=1
d) Exhibit a potential function for F and use the fundamental theorem for line integrals.
2) For each of the following, find values for the constants a,b which make the given vector field obey the necessary condition stated as the fact on page 262 of the text to be a gradient:
a) F=(a x3 y + b y 2,x4+y x)
b) F=(sin(y) + b y cos(x),a x cos(y) + sin(x))
c) F=(a y e(xy) + y 2,-x e(xy) + 2 y xb)
pgs 207-208 number 2 (no tech) 10,12 pgs 273-275 numbers 2,6,8,10,
Also do:
1) Use polar coordinates to integrate the function log(x2+y2) over the region, where x2+y2 <1. (Hint: An integration by parts can help with the evaluation of the integral).
2) Use spherical coordinates to integrate the function 1/(x2+y2+z2)1/2 over the region where x2+y2+z2 <1.
Rosner, p.40-44 number 2.1 (just find the median),2.8,2.9,2.10 (sketch the histogram)
Rosner, p. 67-73,3.12,3.16,3.17,3.24,3.25,3.28
Apostol: Section 13.4 no 1 (Hint: try the following: To show that sets X and Y are disjoint, show that if x is in X it is not in Y and if x is in Y it is not in X To show that sets X and Y are equal, show that if x is in X it is also in Y and if x is in Y it is also in X), Section 3.4, no 3,4, Section 13.7 no 1,4,5,6,13,15, Section 13.11 no 7 (Note: ace,2,3,4,5 in a suit counts as a straight flush), 8,9,10, Section 13.14 no 2,4,11,15. Also do:
Poker novice Jane picks up her five cards and asks "What did you say the probability was for event A (no two cards of the same rank)?"  Veteran Betty tells her.  Jane then says "Well, event B (all four suits represented in the hand) has just occurred for me.  Is that worth anything?"  Betty says, "No, but in that case do you want the conditional probability for A, which I'm planning to use when I bet against you?" Calculate P(A), P(B), P(A & B), and P(A | B). (calculator allowed).
Solutions (Reg) Solutions (Phys) Solutions Bio: 2.1) median 8 days, 2.8) variance 0.39 diopters, 2.9) variance 0.395, stand. dev 0.63 diopters, 3.12) not independent, P[A]=1/10, P[B]=1/10, P[A intersect B] = 1/50 is different from 1/100, 3.16) P[A|B]=P[A^B]/P[B]=0.08/0.9=0.089, 3.17) 0.049 times 0.023 times 0.078 = 8.8 10-5, 3.24) P[man affected| woman affected]=0.0015/0.023=0.065 is higher then unconditional probability in table 3.4 (0.049). These are dependent events, 3.25) P[woman affected|man affected]=0.0015/0.049 = 0.031 is also higher then the unconditional probability in table 3.4 (0.023). These are dependent events. 3.26) A={man affected}, B={woman affected}. We have P[A union B]=P[A]|+P[B]-P[A intersect B] = 0.049+0.023-0.0015=0.0705. 3.28) Expected number of Alzheimers's disease: 1000 times 0.061 = 61.  
9. Week:
Reg/Phy Bio Cs
pgs. 273-275 # 2,8,10, pgs 279-280, # 2 4 pgs 286-287 #2 (skip plotting task), 4,6,
pgs 292-293 #2,4 (these two problems are due only November 27 or 28)
Also do:
1) Take a parameterized curve C: (f(u),g(u)), where g(u)>0 in the x-y plane and revolve it about the x-axis in space to create a surface (called a 'surface of revolution').
a) Show that X(u,v) = (f(u), g(u) cos(v), g(u) sin(v)) parameterizes the surface where v is in the interval [0,2 pi).
b) Sketch the surface of revolution in the case, where f(u)=u and g(u)=1 and also in the case, where f(u)=cos(u) and g(u)=sin(u)+2.
2) Find a parameterization for the surface obtained by revolving the curve y=exp(x) about the x-axis.
3) Find a parameterization for the surface, where x-y2+z4 y4=0.
4) Find a parameterization for the y>0 part of the surface, where y2-((x4+z4)8+1)=0.
5) Find the area of the part of the plane x+y+z=1, where x,y,z are all between 0 and 1.
Rosner: pgs 68-73, # 3.76, 3.77, 3.78, 3.83, 3.87-3.89
pgs 108-110, #4.10, 4.14, 4.15, 4.20
Problems
Solutions Reg/Phys
Solutions Bio
11. Week:
Reg Phy Bio Cs
Week 11 (GIF) Week 11 (GIF) Rosner: pgs 109-110, #4.73-4.74, 4.81-4.83,
pgs 147-149, #5.6, 5.7, 5.41, 5.42, 5.44, 5.61
Problems
Solutions (Reb/Phys)
Solutions (Bio)
12. Week: The problems on the handout can are seperately available here . Note that in problem 8 it should read: "...Indeed, a e^r is given by a = u(1, 0)....". If you have an older version of the handout, the sign could be different. Solutions


Last update, 12/6/2001